深圳市第三人民医院新发传染病研究团队在H5N6禽流感病毒感染免疫应答规律方面取得重要进展
稿件来源:深圳市第三人民医院 发布时间:2018-12-20 00:00:00近日,我院新发传染病研究团队继在病毒学全球顶级杂志《Cell Host & Microbe》发表封面论著系统阐述H5N6禽流感病毒溯源、进化及与人类疾病的关系之后,最近又联合“三名工程”引进的中科院微生物所高福院士团队、中国科学院流感研究与预警中心(CASCIRE)等单位,在传染病专业领域顶级期刊《Clinical Infectious Diseases》发表了H5N6禽流感病毒感染临床特征和机体免疫应答机制的重要研究成果。
H5N6禽流感病毒从2013年开始就已经在我国和东南亚地区的活禽中流行,然后慢慢取代H5N1病毒成为我国家禽中流行的优势病毒亚型。自2014年我国首次报道了人感染H5N6病毒以来,目前一共报道了23例感染病例,其中15例死亡,病死率高达65.2%(截至发稿日),显著高于H5N1(52.8%)和H7N9(39.2%)禽流感病毒。阐明H5N6禽流感病毒感染病例的临床感染特征和免疫应答规律,对于理解H5N6病毒的致病及免疫保护机制、临床免疫干预手段选择及药物开发等都具有重要意义。
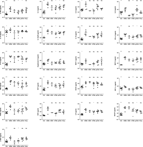
H5N6感染病例临床特征的系统分析发现,H5N6病毒感染病例表现出显著的“细胞因子风暴”特征,血清中多种因子的水平显著高于H7N9、H5N1和pH1N1(2009年H1N1大流感)病毒感染病例及细菌性肺炎病例,包括IL-2Rα、IL-12p40、IL-18、IFN-α2、IP-10等。进一步对两例死亡病例和一例康复病例血清中细胞因子的动态变化进行了检测,发现康复病例血清中细胞因子水平在感染后快速下降,而两例死亡病例细胞因子持续处于高水平状态,提示持续高水平的细胞因子可能是造成H5N6病毒感染死亡的重要原因之一。进一步研究发现:在感染康复病例中H5N6病毒特异性T细胞应答在出现临床症状后第10天开始出现,并呈逐渐增加的趋势,而在两例死亡病例中的整个感染周期内未检测到H5N6病毒特异性T细胞应答。血清中和抗体检测结果表明,在三例病例中均能够检测到一定水平的H5N6病毒特异性中和抗体。这些结果提示:H5N6病毒特异性T细胞免疫应答很可能在H5N6感染后的康复过程中发挥了重要作用。

图1. H5N6病毒感染病例血清呈现高水平的“细胞因子风暴”
图2. H5N6病毒感染死亡病例(Patient 6和10)和康复病例(Patient 8)体液免疫和细胞免疫反应的差异
在市“三名工程”项目的资助下,我院于2014年引进了中科院微生物研究所高福院士团队,通过几年的合作,大大提升了我院突发新发传染病的诊治和科研能力。近年来与中国科学院流感研究与预警中心、中科院微生物研究所合作,在H5N6、H7N9禽流感等病毒的起源进化、变异规律和流行趋势预警研究、疾病重症化的免疫机制研究、病毒变异对疾病发展进程的影响、以及新型/变异病毒快速检测方法等方面开展了系列工作;将基础研究和临床相结合,针对H7N9感染患者开展了个性化精准治疗,使H7N9感染病死率降低至9%。系列研究成果发表在《》(封面文章)、《Clinical Infectious Diseases》、《Journal of Infectious Diseases》、《Journal of Virology》、《mBio》及《Journal of Immunology》等杂志上。该研究得到了深圳市“三名工程”、深圳市科创委、科技部重点研发计划、国家自然科学基金(优秀青年科学基金、创新研究群体、面上项目)的资助。
附件:

粤公网安备 44030702003859号